Минимальный диаметр арматуры в фундаменте. От чего зависит количество арматуры для фундамента и как правильно выполнить расчет?
- Минимальный диаметр арматуры в фундаменте. От чего зависит количество арматуры для фундамента и как правильно выполнить расчет?
- Диаметр арматуры для фундамента. Как самостоятельно провести расчёт арматуры для фундамента?
- Диаметр арматуры для фундамента одноэтажного дома. Определение толщины арматуры
- Сколько нужно арматуры на фундамент 8х8.
- Диаметр арматуры вес. Вес 1 метра арматуры | ТАБЛИЦА (масса всех диаметров)
- Диаметр арматуры гост. ГОСТ 5781-82 Сталь горячекатаная для армирования железобетонных конструкций. Технические условия
Минимальный диаметр арматуры в фундаменте. От чего зависит количество арматуры для фундамента и как правильно выполнить расчет?
При строительстве любого здания под него оборудуют фундамент. Если дом будет большим и тяжелым, например, планируется стройка конструкции из монолитного бетона, то в основание закладывают арматуру.
Она способствует укреплению фундамента и обеспечивает его долговечность. Чтобы знать, какое количество стержней потребуется для определенного фундамента, его рассчитывают, учитывая большое количество факторов.
К ним относят такие положения:
- СНиП 2.02.01-83 — в нем говорится об основаниях зданий и сооружений. Здесь стоит обратить внимание на разделы, где указаны расчеты проектирования на разных типах грунтов.
В этом своде правил можно найти, как грамотно рассчитать фундамент для сооружений, возводимых на засоленных, насыпных грунтах, недалеко от линий электропередач, на грунтах с набухающей способностью. Нормативный документ также расскажет, как рассчитать деформацию оснований.
- СНиП 52-01-2003 — актуальная версия СП 63.13330.2018 — важный документ, которого стоит придерживаться при расчетах армирующего материала.
Именно здесь прописаны разделы, которые определяют марку стали, форму и геометрические размеры прутьев арматуры.
Также в нем указано количество и размеры армирующих элементов. Здесь также можно ознакомиться с их взаимным расположением в теле бетона, узнать о способах расположения и.
- СП 52-101-2003 является дополнительным документом, из которого можно узнать о расчетах для продольной арматуры в железобетонном элементе. Также в указанных нормативных актах можно ознакомиться с тем, как правильно произвести расчеты на разных типах основания:,и.
Диаметр арматуры для фундамента. Как самостоятельно провести расчёт арматуры для фундамента?

Мероприятиям по возведению любого здания предшествуют проектные работы, в процессе которых определяется тип фундаментной базы и необходимое количество материалов для ее сооружения. Важной частью фундамента является арматурный каркас.
Он повышает прочность основания, демпфирует растягивающие усилия и изгибающие нагрузки, а также предотвращает образование трещин. Для выполнения работ необходимо понимать, сколько арматуры нужно для армирования ленточного фундамента, а также для столбчатого и плитного основания.
Разберемся с особенностями вычислений.
Расход арматуры на армирование ленточного фундамента
Готовимся выполнить расчет количества арматуры для фундамента – важные моменты
Планируя постройку частного дома, следует обратить особое внимание на конструкцию арматурной решетки, воспринимающую значительные нагрузки на фундамент. Квалифицированно разработанная схема силовой решетки и применение оптимального сечения арматуры позволяет обеспечить требуемый запас прочности фундаментной базы, а также ее продолжительный ресурс использования.
Самостоятельно рассчитать арматуру на фундамент можно различными способами :
- с использованием программных средств и онлайн-калькуляторов, которые выполняют расчет арматуры после введения рабочих параметров;
- выполняя вычисления вручную на основании информации о конструктивных особенностях фундамента, величине усилий и параметрам решетки.
Фундаментная основа, воспринимает нагрузку от массы здания и равномерно распределяет ее на опорную поверхность почвы.
Возведение зданий осуществляется на различных типах оснований :
- ленточных;
- плитных;
- столбчатых.
Расчет арматуры для ленточного фундамента
До начала вычислений следует разобраться с конструкцией силового каркаса, который состоит из следующих элементов :
- вертикальных и поперечных стержней, между которыми выдержан равный интервал;
- вязальной проволоки, соединяющей продольно расположенные перемычки и вертикальные прутки;
- муфт, обеспечивающих прочное соединение и удлинение арматурных прутков.
Для каждого вида основания применяется своя схема армирования фундамента, которая зависит от следующих факторов :
- характеристик почвы;
- габаритов здания;
- конструктивных особенностей строения;
- действующих нагрузок.
Применяется арматура, имеющая ребристую поверхность, которая отличается :
- размером сечения;
- классом;
- уровнем воспринимаемых нагрузок;
- расположением в силовой решетке;
- стоимостью.
Укладка арматуры в ленточный фундамент
Для различных фундаментов на основании вычислений определяются следующие сведения :
- количество арматуры для фундамента;
- сортамент вертикальных и поперечных прутков;
- общая масса арматурного каркаса;
- методы фиксации стальных стержней в силовой конструкции;
- технология сборки несущей решетки;
- шаг обвязки арматурных элементов.
Важно правильно выполнить расчет. Арматура для фундамента в этом случае обеспечит необходимый запас прочности. Рассмотрим, какие необходимы исходные данные для расчетов, а также изучим методику выполнения вычислений для различных типов фундаментов.
Расчет количества арматуры для ленточного фундамента
Основание ленточного типа обеспечивает повышенную устойчивость строений на различных почвах.
Конструкция представляет собой бетонную ленту, повторяющую контур здания и расположенную под капитальными стенами.
Усиление стальной арматурой повышает прочностные характеристики бетонной основы и положительно влияет на ее долговечность. Для сооружения пространственной решетки можно использовать арматуру диаметром 10 мм.
Исходные данные для выполнения расчетов :
- длина и ширина фундаментной базы;
- сечение железобетонной ленты;
- интервал между каркасными элементами;
- общее количество обвязочных поясов;
- размер ячеек силовой решетки.
Сколько арматуры нужно для фундамента
Рассмотрим порядок вычислений :
- Рассчитайте общую длину ленточного контура.
- Вычислите количество элементов в поясах.
- Определите метраж горизонтальных стержней.
- Вычислите потребность в вертикальных прутках.
- Рассчитайте длину поперечных перемычек.
- Сложите полученный метраж.
Зная общее количество стыковых участков, можно вычислить потребность в вязальной проволоке.
Расчет количества арматуры на фундамент плитного типа
Фундамент плитной конструкции применяется для строительства жилых зданий на пучинистых грунтах. Для обеспечения прочностных характеристик применяются арматурные стержни диаметром 10–12 мм. При повышенной массе строений диаметр прутков следует увеличить до 1,4–1,6 см.
Рассчитать количество арматуры для фундамента плитной конструкции можно, используя следующую информацию :
- пространственный каркас из арматуры сооружается в двух уровнях;
- соединение стержней выполняется в виде квадратных ячеек со стороной 15–20 см;
- обвязка выполняется отожженной проволокой в каждой точке соединения.
Схема армирования монолитной плиты фундамента
Для определения потребности в арматуре выполните следующие операции :
- Определите количество горизонтальных прутков в каждом ярусе.
- Вычислите общий метраж арматурных стержней, формирующих ячейки.
Диаметр арматуры для фундамента одноэтажного дома. Определение толщины арматуры
Так как ленточный фундамент в разрезе имеет форму прямоугольника, то площадь сечения находится перемножением длин его сторон. Если лента имеет глубину 80 см и ширину 30 см, то площадь будет 80 см*30 см = 2400 см2.
Теперь нужно найти общую площадь арматуры. По СНиПу она должна быть не менее 0,1%. Для данного примера это 2,8 см2. Теперь методом подбора определим, диаметр прутков и их количество.

Цитаты из СНиПа, которые относятся к армированию (чтобы увеличить картинку щелкните по ней правой клавишей мышки)
Например, планируем использовать арматуру диаметром 12 мм. Площадь ее поперечного сечения 1.13 см2(вычисляется по формуле площади окружности). Получается, чтобы обеспечить рекомендации (2,8 см2) нам понадобится три прутка (или говорят еще «нитки»), так как двух явно мало: 1,13 * 3 = 3,39 см2, а это больше чем 2,8 см2, которые рекомендует СНиП. Но три нитки на два пояса разделить не получится, а нагрузка будет и с той и с другой стороны значительной. Потому укладывают четыре, закладывая солидный запас прочности.
Чтобы не закапывать лишние деньги в землю, можно попробовать уменьшить диаметр арматуры: рассчитать под 10 мм. Площадь этого прутка 0,79 см2. Если умножить на 4 (минимальное количество прутков рабочей арматуры для ленточного каркаса), получим 3,16 см2, чего тоже хватает с запасом. Так что для данного варианта ленточного фундамента можно использовать ребристую арматуру II класса диаметром 10 мм.

Армирование ленточного фундамента под коттедж проводят с использованием прутков с разным типом профиля
Как рассчитать толщину продольной арматуры для ленточного фундамента разобрались, нужно определить, с каким шагом устанавливать вертикальные и горизонтальные перемычки.
Сколько нужно арматуры на фундамент 8х8.
занимает основное место среди всех опорных конструкций для зданий и сооружений.
Он способен эффективно работать на самых сложных грунтах, имеет оптимальный набор эксплуатационных качеств.
Монолитные конструкции ленты не теряют своих рабочих качеств до 150 лет, что превышает срок службы стен дома.
Такие высокие возможности возникли из-за высокой жесткости и прочности ленты, которые обеспечивает совместная работаи металлической арматуры.
Каждый из них выполняет свою функцию, в сумме обеспечивая надежность и высокую несущую способность ленточного основания.
Арматурный каркас необходим для компенсации осевых противонаправленных (растягивающих) нагрузок, возникающих в ленте при появлении деформирующих воздействий — изгибающих или скручивающих усилий .
Особенность бетона состоит в способности принимать гигантские давления без каких-либо последствий.
При этом, он практически беззащитен перед разнонаправленными усилиями, быстро покрывается трещинами и разрушается .
Поэтому для ленты крайне опасны любые усилия, приложенные в одной точке — например, боковые или вертикальные нагрузки пучения. Арматурные стержни предназначены для приема этих усилий на себя.
Существует горизонтальная (рабочая) и вертикальная арматура . Основные нагрузки принимают горизонтальные стержни.
Они имеют больший диаметр и рифленую поверхность, обладающую хорошим сцеплением с бетоном.
Вертикальные стержни выполняют две функции :
- Фиксация рабочей арматуры в необходимом положении до момента заливки бетоном.
- Частичная компенсация скручивающих усилий.
Первая задача основная, а вторая — дополнительная, поскольку наличие таких специфических нагрузок наблюдается довольно редко .
В большинстве случаев вертикальная (гладкая) арматура служит лишь опорной конструкцией, удерживающей рабочие стержни в необходимом положении до момента заливки.
Они довольно толстые, так как — процесс с достаточно интенсивными воздействиями на каркас, сосредоточенными в одной точке (место падения тяжелого материала в опалубку), а также распределенными по всей длине (штыкование, обработка виброплитой) .

Онлайн калькулятор
Как рассчитать ленточный фундамент дома? В этой вам может специально разработанный сервис —ленточного фундамента.

Инструкция по работе с калькулятором
В сети интернет имеется немало онлайн-калькуляторов, помогающих рассчитать параметры ленточных фундаментов по всем важным позициям . Расчет арматуры с их помощью занимает буквально пару минут.
Например, нанеобходимо лишь внести собственные данные в соответствующие окошечки программы и нажать кнопку «рассчитать».
Дается схема армирования, в которой надо указать основные параметры — количество рабочих стержней в одном ряду, общее число рядов, расстояние между вертикальными прутками и т.п. В отдельном окне указывается стоимость арматуры за единицу.
В результате программа выдает количество арматуры и общую цену. Расчет производится просто и быстро, кроме арматуры ресурс выдает параметры всех элементов ленты — , количества бетона и т.д.
Недостатком данного калькулятора можно считать необходимость заранее знать схему армирования, диаметр стержней и рыночную стоимость материала.
Если требуется определить количество и сечение стержней, ресурс бесполезен. Он дает только количественную информацию, не касаясь качественных моментов, что иногда не совсем то,что нужно .
ВАЖНО!
Не все онлайн-калькуляторы работают по такому алгоритму. Имеются и другие, определяющие именно размеры и общие параметры арматурного каркаса, которые станут полезными для получения первичной информации . Стоимость материала следует узнавать непосредственно у продавцов, поскольку в этом вопросе имеется масса специфических факторов.
Порядок расчета
Рассмотрим, как рассчитать арматурный каркас ленты самостоятельно .
Прежде всего, необходимо определить количество рабочих стержней в одном ряду. Для этого понадобится использовать требование СП 52-101-2003, ограничивающее максимальное расстояние между соседними прутками в 40 см.
Учитывая, что погружения рабочей арматуры не должна превышать 2-5 см, получаем :
- Для лент толщиной менее 50 см — 2 рабочих стержня.
- Для лент шире 50 см — 3 стержня.
В случаях, когда можно использовать и 2, и 3 стержня в одном ряду, обычно стараются подстраховаться и принять большее значение, так как фундамент — ответственный и важный участок постройки.
Вторым этапом является определение диаметра рабочих стержней. Для этого понадобится рассчитать площадь сечения рабочей части ленты, умножив ширину на высоту.
Диаметр арматуры вес. Вес 1 метра арматуры | ТАБЛИЦА (масса всех диаметров)
Быстрая навигация по статье (содержание)
Погонный метр арматуры — отдельные стержни гладкого и периодического профиля длиной 1 метр, вес которых зависит от диаметра стали ГОСТ 5781-82 (из ряда размеров диаметра периодической стали — 6, 8,10, 12, 14, 16, 18,20, 22, 25, 28, 32, 36, 40, 45, 50, 55, 60, 70, 80 мм ).

Основное применение профиля находит при строительстве фундаментов и стен зданий и сооружений из монолитного бетона. При производстве бетонных работ значительных затрат времени и средств требует устройство армокаркаса для армирования конструкции изготовленных из арматурных сеток. Для расчета объема заказа нужно знать массу и количество погонных метров арматурной стали.
Стальная арматура: вес 1 метра | Таблица
Как узнать массу погонного метра? Для решения этой задачи необходимо сверится с таблицей расчета, найдя в ней номинальный диаметр (номер профиля) используемой в строительстве.
Таблица веса:
Данная таблица абсолютно проста в применении. В первой колонке выбираем диаметр стержня в мм, которая будет использоваться, во второй колонке сразу видим вес одного погонного метра стержня данного типа.
От чего зависит масса прутов
Разумеется, в первую очередь вес прута зависит от толщины. Чем больше диаметр, тем больше будет и масса. Сегодня при строительстве чаще всего применяются металлические пруты диаметром от 6 до 80 миллиметров.
Масса 1 м. арматуры, самой тонкой, весит всего 222 грамма, в то время как для самой толстой этот показатель составляет 39,46 килограмма. Как видите – разница огромна.
Поэтому эти знание также не будет лишним при расчете давления конструкции на основание – несколько неучтенных тонн нагрузки может губительно сказаться на надежности и долговечности любой постройки.
Зачем нужно знать вес?
Часто у профессиональных строителей возникает вопрос – каков вес погонного метра арматуры. Зачем им это нужно? Дело в том, что при закупке прутов для возведения крупных сооружений, она покупается не поштучно, как при индивидуальном строительстве, а тоннами. Но сложно рассчитать, на сколько хватит определенной массы материала, если не знать его массы.
Знание же общей массы и удельного веса, можно за считанные секунды произвести простейшие расчеты, получив общую протяженность металлических стержней. Для этого, берём всю массу необходимых прутов, и делим на вес 1 погонного метра.
Диаметр арматуры гост. ГОСТ 5781-82 Сталь горячекатаная для армирования железобетонных конструкций. Технические условия
ГОСУДАРСТВЕННЫЙ СТАНДАРТ СОЮЗА ССР
СТАЛЬ ГОРЯЧЕКАТАНАЯ ДЛЯ АРМИРОВАНИЯ ЖЕЛЕЗОБЕТОННЫХ КОНСТРУКЦИЙ
ТЕХНИЧЕСКИЕ УСЛОВИЯ
ГОСТ 5781-82
ИЗДАТЕЛЬСТВО СТАНДАРТОВ
Москва
ГОСУДАРСТВЕННЫЙ СТАНДАРТ СОЮЗА ССР
Дата введения01.07.83
Настоящий стандарт распространяется на горячекатаную круглую сталь гладкого и периодического профиля, предназначенную для армирования обычных и предварительно напряженных железобетонных конструкций (арматурная сталь).
В части норм химического состава низколегированных сталей стандарт распространяется также на слитки, блюмсы и заготовки.
(Измененная редакция, Изм. № 4).
1. КЛАССИФИКАЦИЯ И СОРТАМЕНТ
1.1. В зависимости от механических свойств арматурная сталь подразделяется на классы A - I (А240), А- II (А300), А- III (А400), A - IV ( A 600), A - V ( A 800), A - VI ( A 1000).
1.2. Арматурная сталь изготовляется в стержнях или мотках. Арматурную сталь класса A - I ( A 240) изготовляют гладкой, классов А- II (А300), А- III (А400), A - IV ( A 600), A - V ( A 800) и A - VI ( A 1000) - периодического профиля.
По требованию потребителя сталь классов А- II (А300), А- III (А400), A - IV ( A 600) и A - V ( A 1000) изготовляют гладкой.
1.1, 1.2. (Измененная редакция, Изм. № 5) .
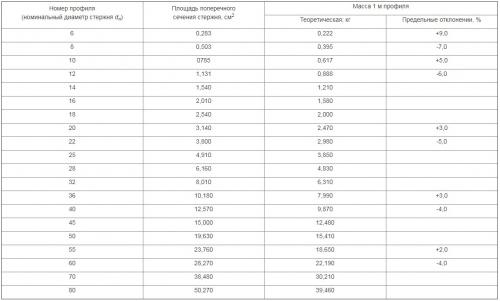
1.3. Номера профилей, площади поперечного сечения, масса 1 м длины арматурной стали гладкого и периодического профиля, а также предельные отклонения по массе для периодических профилей должны соответствовать указанным в табл. 1.
1.4. Номинальные диаметры периодических профилей должны соответствовать номинальным диаметрам равновеликих по площади поперечного сечения гладких профилей.
Таблица 1

(Измененная редакция, Изм. № 3).
1.5. Масса 1 м профиля вычислена по номинальным размерам при плотности стали, равной 7,85 × 103кг/м3. Вероятность обеспечения массы 1 м должна быть не менее 0,9.
(Измененная редакция, Изм. № 3).
1.6. Предельные отклонения диаметра гладких профилей должны соответствовать ГОСТ 2590-88 для обычной точности прокатки.
1.7. Арматурная сталь периодического профиля представляет собой круглые профили с двумя продольными ребрами и поперечными выступами, идущими по трехзаходной винтовой линии. Для профилей диаметром 6 мм допускаются выступы, идущие по однозаходной винтовой линии, диаметром 8 мм - по двухзаходной винтовой линии.
1.8. Арматурная сталь класса А- II (А300), изготовленная в обычном исполнении, профилем, приведенным на черт. 1 a , и специального назначения Ас- II (Ас300) профилем, приведенным на черт. 2 а , должна иметь выступы, идущие по винтовым линиям с одинаковым заходом на обеих сторонах профиля.
Сталь класса A - III ( A 400), изготовляемая профилем, приведенным на черт. 1 б , и классов A - IV ( A 600), A - V ( A 800), A - VI ( A 1000) профилем, приведенным на черт. 1 б , 2 б , должна иметь выступы по винтовым линиям, имеющим с одной стороны профиля правый, а с другой - левый заходы.

Черт. 1

Черт. 2
Арматурную сталь специального назначения класса Ас- II (Ас300) изготовляют профилями, приведенными на черт. 1 a или 2 а .
Профиль, приведенный на черт. 2 а , специального назначения изготовляется по согласованию изготовителя с потребителем. Форма и размеры профилей, приведенных на черт. 2 а и б , могут уточняться.
1.9. Размеры и предельные отклонения размеров арматурной стали периодического профиля, изготавливаемого по черт. 1 a и б , должны соответствовать приведенным в табл. 2, а по черт. 2 а и б - приведенным в табл. 3.
